What Does Notice Of Severance Mean .  what is a notice of severance?   severance pay is a form of compensation provided by employers to employees upon termination of their employment. Eligibility for severance pay varies. You can do this by serving them a.  a severance of tenancy is a legal process that enables joint tenants to change the status of their property ownership to tenants in common.   after separation you might want to ensure that your share of the house does not pass to your former partner if you were to die. A notice can be served unilaterally by a joint tenant without the need for consulting the other joint tenant(s). Commonly, the notice should be sent by registered post, to the co.   notice of severance.  in this instance, your conveyancer would suggest that you issue a ‘notice of severance’.
        
         
         
        from formspal.com 
     
        
        A notice can be served unilaterally by a joint tenant without the need for consulting the other joint tenant(s).   severance pay is a form of compensation provided by employers to employees upon termination of their employment.   after separation you might want to ensure that your share of the house does not pass to your former partner if you were to die.   notice of severance.  what is a notice of severance? Commonly, the notice should be sent by registered post, to the co. Eligibility for severance pay varies. You can do this by serving them a.  in this instance, your conveyancer would suggest that you issue a ‘notice of severance’.  a severance of tenancy is a legal process that enables joint tenants to change the status of their property ownership to tenants in common.
    
    	
            
	
		 
	 
         
    Notice Of Severance Of Joint Tenancy California Divorce PDF Form FormsPal 
    What Does Notice Of Severance Mean   what is a notice of severance? Commonly, the notice should be sent by registered post, to the co.  a severance of tenancy is a legal process that enables joint tenants to change the status of their property ownership to tenants in common.   notice of severance.   severance pay is a form of compensation provided by employers to employees upon termination of their employment. Eligibility for severance pay varies. You can do this by serving them a.   after separation you might want to ensure that your share of the house does not pass to your former partner if you were to die.  in this instance, your conveyancer would suggest that you issue a ‘notice of severance’.  what is a notice of severance? A notice can be served unilaterally by a joint tenant without the need for consulting the other joint tenant(s).
            
	
		 
	 
         
 
    
         
        From dxohnfopi.blob.core.windows.net 
                    Meaning Of Severance at Arthur Kennedy blog What Does Notice Of Severance Mean  A notice can be served unilaterally by a joint tenant without the need for consulting the other joint tenant(s).   after separation you might want to ensure that your share of the house does not pass to your former partner if you were to die.  in this instance, your conveyancer would suggest that you issue a ‘notice of severance’.. What Does Notice Of Severance Mean.
     
    
         
        From www.legalo.co.uk 
                    Notice of Severance of Joint Tenancy Legalo, United Kingdom What Does Notice Of Severance Mean   in this instance, your conveyancer would suggest that you issue a ‘notice of severance’.  what is a notice of severance?   after separation you might want to ensure that your share of the house does not pass to your former partner if you were to die.   notice of severance.   severance pay is a form of compensation. What Does Notice Of Severance Mean.
     
    
         
        From www.studocu.com 
                    Notice under writing Severance can be brought about through Notice What Does Notice Of Severance Mean   what is a notice of severance?  a severance of tenancy is a legal process that enables joint tenants to change the status of their property ownership to tenants in common.   severance pay is a form of compensation provided by employers to employees upon termination of their employment. Commonly, the notice should be sent by registered post, to. What Does Notice Of Severance Mean.
     
    
         
        From www.sampletemplates.com 
                    FREE 8+ Sample Severance Agreement Templates in Google Docs MS Word What Does Notice Of Severance Mean    after separation you might want to ensure that your share of the house does not pass to your former partner if you were to die. Commonly, the notice should be sent by registered post, to the co. Eligibility for severance pay varies.   notice of severance.  what is a notice of severance?  a severance of tenancy is. What Does Notice Of Severance Mean.
     
    
         
        From formspal.com 
                    Notice Of Severance Of Joint Tenancy California Divorce PDF Form FormsPal What Does Notice Of Severance Mean   what is a notice of severance?  a severance of tenancy is a legal process that enables joint tenants to change the status of their property ownership to tenants in common.   after separation you might want to ensure that your share of the house does not pass to your former partner if you were to die. You can. What Does Notice Of Severance Mean.
     
    
         
        From www.signnow.com 
                    Notice of Severance of Joint Tenancy Template Uk airSlate SignNow What Does Notice Of Severance Mean   a severance of tenancy is a legal process that enables joint tenants to change the status of their property ownership to tenants in common. A notice can be served unilaterally by a joint tenant without the need for consulting the other joint tenant(s).  in this instance, your conveyancer would suggest that you issue a ‘notice of severance’. . What Does Notice Of Severance Mean.
     
    
         
        From lesboucans.com 
                    Severance Letter Template Free Collection What Does Notice Of Severance Mean  You can do this by serving them a. Commonly, the notice should be sent by registered post, to the co.  in this instance, your conveyancer would suggest that you issue a ‘notice of severance’.  a severance of tenancy is a legal process that enables joint tenants to change the status of their property ownership to tenants in common.. What Does Notice Of Severance Mean.
     
    
         
        From www.template.net 
                    8+ Sample Severance Agreement Templates PDF, Docs, Word What Does Notice Of Severance Mean   in this instance, your conveyancer would suggest that you issue a ‘notice of severance’.  what is a notice of severance? A notice can be served unilaterally by a joint tenant without the need for consulting the other joint tenant(s).   severance pay is a form of compensation provided by employers to employees upon termination of their employment. . What Does Notice Of Severance Mean.
     
    
         
        From formspal.com 
                    Notice Of Severance Of Joint Tenancy California Divorce PDF Form FormsPal What Does Notice Of Severance Mean  You can do this by serving them a.   severance pay is a form of compensation provided by employers to employees upon termination of their employment. Commonly, the notice should be sent by registered post, to the co.   notice of severance. A notice can be served unilaterally by a joint tenant without the need for consulting the other joint. What Does Notice Of Severance Mean.
     
    
         
        From mi-pro.co.uk 
                    What Is Severance Pay? Definition and Why It's Offered, severance pay What Does Notice Of Severance Mean   in this instance, your conveyancer would suggest that you issue a ‘notice of severance’.  what is a notice of severance? Eligibility for severance pay varies.   severance pay is a form of compensation provided by employers to employees upon termination of their employment.  a severance of tenancy is a legal process that enables joint tenants to change. What Does Notice Of Severance Mean.
     
    
         
        From www.studocu.com 
                    Severance ‘ Notice IN Writing’ LAND LAW 7 COOWNERSHIP What Does Notice Of Severance Mean    after separation you might want to ensure that your share of the house does not pass to your former partner if you were to die.   notice of severance. You can do this by serving them a.  in this instance, your conveyancer would suggest that you issue a ‘notice of severance’.  a severance of tenancy is a. What Does Notice Of Severance Mean.
     
    
         
        From templatelab.com 
                    39 Best Severance Agreement Templates (+Examples) What Does Notice Of Severance Mean  Commonly, the notice should be sent by registered post, to the co.  in this instance, your conveyancer would suggest that you issue a ‘notice of severance’.  what is a notice of severance? Eligibility for severance pay varies. You can do this by serving them a. A notice can be served unilaterally by a joint tenant without the need. What Does Notice Of Severance Mean.
     
    
         
        From www.proposalkit.com 
                    Company Layoff Notice with Severance Form 3 Easy Steps What Does Notice Of Severance Mean  Eligibility for severance pay varies.  in this instance, your conveyancer would suggest that you issue a ‘notice of severance’. You can do this by serving them a.   severance pay is a form of compensation provided by employers to employees upon termination of their employment.   after separation you might want to ensure that your share of the house. What Does Notice Of Severance Mean.
     
    
         
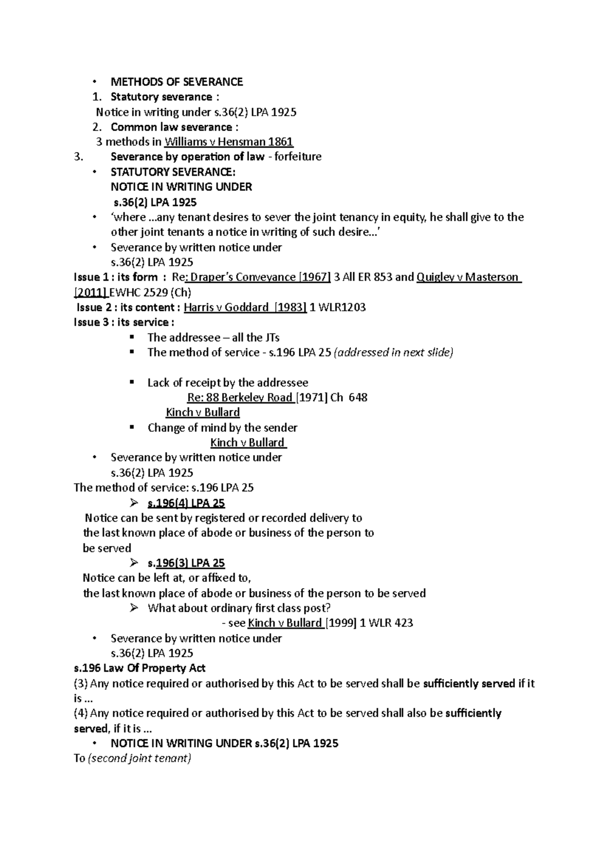
        From www.studocu.com 
                    Methods OF Severance of a leasehold estate. • METHODS OF SEVERANCE What Does Notice Of Severance Mean   in this instance, your conveyancer would suggest that you issue a ‘notice of severance’.  a severance of tenancy is a legal process that enables joint tenants to change the status of their property ownership to tenants in common. Eligibility for severance pay varies. You can do this by serving them a. Commonly, the notice should be sent by. What Does Notice Of Severance Mean.
     
    
         
        From www.landregistryservices.com 
                    Template for Severing a Joint Tenancy What Does Notice Of Severance Mean    notice of severance. You can do this by serving them a.  what is a notice of severance? Eligibility for severance pay varies.  in this instance, your conveyancer would suggest that you issue a ‘notice of severance’. Commonly, the notice should be sent by registered post, to the co.   after separation you might want to ensure that. What Does Notice Of Severance Mean.
     
    
         
        From dxohnfopi.blob.core.windows.net 
                    Meaning Of Severance at Arthur Kennedy blog What Does Notice Of Severance Mean  Commonly, the notice should be sent by registered post, to the co. You can do this by serving them a.  what is a notice of severance?   notice of severance. A notice can be served unilaterally by a joint tenant without the need for consulting the other joint tenant(s).  a severance of tenancy is a legal process that. What Does Notice Of Severance Mean.
     
    
         
        From www.sampletemplates.com 
                    Severance Agreement 7+ Free Samples , Examples , Format What Does Notice Of Severance Mean  Eligibility for severance pay varies.  in this instance, your conveyancer would suggest that you issue a ‘notice of severance’.   after separation you might want to ensure that your share of the house does not pass to your former partner if you were to die.  what is a notice of severance?   notice of severance.   severance pay. What Does Notice Of Severance Mean.
     
    
         
        From www.rocketlawyer.co.uk 
                    Notice of Severance Severance of Joint Tenancy Sever Joint Tenancy What Does Notice Of Severance Mean   a severance of tenancy is a legal process that enables joint tenants to change the status of their property ownership to tenants in common.  what is a notice of severance?  in this instance, your conveyancer would suggest that you issue a ‘notice of severance’. Commonly, the notice should be sent by registered post, to the co. . What Does Notice Of Severance Mean.